The global health landscape is on the brink of a crisis as the number of people living with dementia is projected to double within the next 25 years.
This alarming statistic, underscored by recent research from Lund University in Sweden, reveals a stark reality: while some forms of dementia are genetically predetermined, a significant portion of the disease’s burden may be influenced by lifestyle choices.
For the first time, scientists have identified 17 critical factors that shape the development of Alzheimer’s disease and vascular dementia, offering a roadmap for prevention that could alter the trajectory of this devastating condition.
The study, which analyzed data from 494 participants, delved into a complex interplay of fixed and modifiable risk factors.
Among the unchangeable elements were age, genetics, and sex, but the findings also highlighted the profound impact of lifestyle variables such as alcohol consumption, physical activity, and smoking.
Notably, the research team estimated that 45% of dementia cases could be attributed to these modifiable risk factors, a revelation that underscores the potential for intervention through behavioral and medical adjustments.
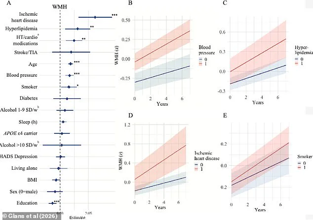
The researchers examined the influence of these factors on key biological markers in the brain: white matter hyperintensities (WMHs), amyloid-beta, and tau.
WMHs, often linked to conditions like high blood pressure, diabetes, and smoking, are associated with cognitive decline and stroke.
Amyloid-beta proteins, which form plaques in the brains of Alzheimer’s patients, and tau proteins, which create tangles that disrupt brain function, were also scrutinized.
By linking these biomarkers to specific risk factors, the study provides a deeper understanding of how lifestyle choices may accelerate or slow the progression of dementia.
Sebastian Palmqvist, a senior lecturer in neurology at Lund University and lead author of the study, emphasized the significance of this work. 'Much of the research on modifiable risk factors has overlooked the distinct mechanisms underlying different types of dementia,' he said. 'This study fills a critical gap by showing how individual risk factors impact the brain’s disease processes, offering a more targeted approach to prevention.' The implications of these findings are particularly urgent given the scale of the dementia epidemic.

In the United States alone, Alzheimer’s disease affects nearly 7 million people, a number expected to surge to 13 million by 2050.
Vascular dementia, which affects approximately 807,000 Americans, is even more widespread when considering mixed dementia cases with vascular components, totaling around 2.7 million individuals.
These figures paint a picture of a public health emergency that demands immediate action.
The study’s insights build on earlier research published in *The Lancet*, which identified 14 modifiable risk factors, including physical inactivity, smoking, poor diet, and social isolation.
A separate study, the US POINTER trial, further reinforced the potential of lifestyle interventions, demonstrating that aerobic exercise and a Mediterranean diet can enhance cognitive function in at-risk populations.
These findings collectively suggest that a multifaceted approach—combining medical management, behavioral changes, and public health strategies—could significantly reduce the dementia burden.
As the scientific community grapples with this challenge, the message is clear: while some risks are beyond our control, the power to mitigate others lies in our hands.
From managing blood pressure and cholesterol to adopting healthier diets and staying physically active, the choices we make today may determine whether we live with dementia tomorrow.
The urgency of this moment cannot be overstated; the window for intervention is now, and the tools to combat this crisis are within reach.

A groundbreaking study published earlier this month in *The Journal of Prevention of Alzheimer's Disease* has sent shockwaves through the medical community, revealing alarming connections between lifestyle factors, vascular health, and the progression of brain changes linked to dementia.
Researchers from Sweden analyzed data from 494 participants, aged on average 65, who underwent comprehensive assessments over a four-year period.
These included genetic testing for the APOE e4 gene, a well-known risk factor for Alzheimer’s, as well as evaluations of BMI, blood pressure, sleep patterns, and vascular health.
The study also involved cerebrospinal fluid analysis and advanced imaging techniques like MRI and PET scans, providing an unprecedented look into the brain’s structural and biochemical changes over time.
The findings are both sobering and urgent.
Older participants showed accelerated progression of white matter hyperintensities—abnormal bright spots on brain scans that signal damaged neural pathways.
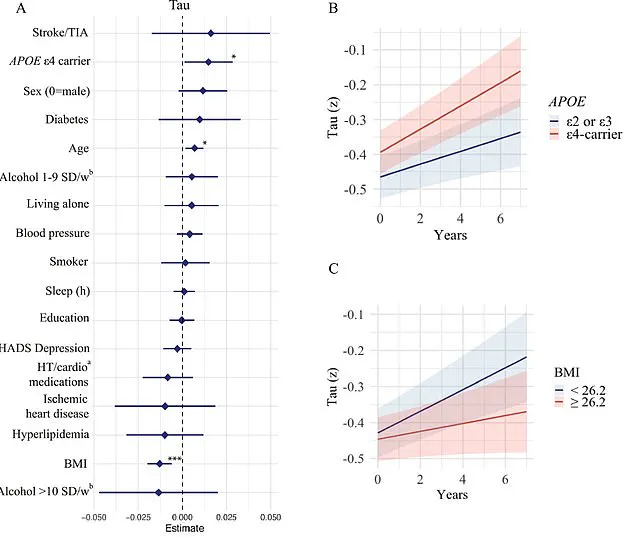
Worse still, individuals carrying the APOE e4 gene experienced a faster accumulation of amyloid-beta and tau proteins, the hallmark plaques and tangles of Alzheimer’s disease.
These results reinforce what experts have long suspected: aging and genetic predisposition are not the only villains in the dementia story.
The study also uncovered a troubling link between vascular health and cognitive decline, with high blood pressure, hyperlipidemia, heart disease, and smoking all contributing to brain damage that disrupts blood flow and oxygen supply.

This vascular deterioration, the researchers warn, can lead to irreversible damage in memory and cognitive centers of the brain.
The implications extend beyond the obvious.
The study identified lower levels of education as a risk factor, possibly due to increased stress and limited access to preventive healthcare.
This adds another layer to the social determinants of dementia, highlighting disparities that could be addressed through policy and education.
Personal stories from patients further underscore the human toll of these findings.
Rebecca Luna, diagnosed with early-onset Alzheimer’s in her late 40s, described blacking out mid-conversation and forgetting to turn off the stove, leaving her kitchen engulfed in smoke.
Jana Nelson, 50 when diagnosed with early-onset dementia, recounted a dramatic decline in cognitive function, struggling to name colors or solve basic math problems.
These narratives humanize the statistics, emphasizing the need for early intervention.
Isabelle Glans, the study’s lead author and a doctoral student at Lund University, emphasized the significance of modifiable risk factors. 'We saw that smoking, cardiovascular disease, high blood lipids, and high blood pressure are all linked to vascular brain damage and faster accumulation of white matter changes,' she said. 'This damage impairs blood vessel function and can ultimately lead to vascular dementia.' The research also uncovered a paradox: diabetes was associated with increased amyloid-beta accumulation, likely due to insulin resistance disrupting the brain’s natural clearance mechanisms.
Meanwhile, lower BMI in older adults correlated with faster tau accumulation, a finding that challenges the conventional wisdom linking obesity to dementia.

Glans noted that low BMI might reflect tau tangles in brain regions controlling appetite, such as the hypothalamus, or reduced cerebral metabolism, which could exacerbate brain atrophy.
Despite these revelations, the study’s authors caution that further research is needed to validate their findings. 'These associations need to be investigated further and confirmed in larger studies,' Glans said.
However, the message is clear: adopting healthier lifestyles early could significantly reduce dementia risk.
Dr.
Palmqvist, a co-researcher, stressed the importance of targeting vascular and metabolic risk factors. 'Focusing on these areas can still help reduce the combined effects of multiple brain changes that occur simultaneously,' he explained.
As the global population ages, these insights offer a roadmap for prevention, urging individuals and healthcare systems to prioritize heart health, education, and early intervention to combat the rising tide of dementia.
The study serves as a wake-up call, blending cutting-edge science with urgent public health advice.
It underscores the interconnectedness of vascular health, genetics, and lifestyle in shaping brain aging.
For now, the call to action is clear: addressable risk factors remain our greatest weapon in the fight against dementia.
The clock is ticking, and the stakes have never been higher.