A groundbreaking study has revealed that dark chocolate and red wine, long considered indulgent treats, may hold the key to a longer, healthier life.

Scientists have uncovered that the health benefits of these foods stem from their rich content of flavonoids—plant-based compounds celebrated for their antioxidant and anti-inflammatory properties.
These findings, published in the journal *Nature*, challenge conventional wisdom about diet and longevity, suggesting that a diverse intake of flavonoids could significantly reduce the risk of chronic disease and premature death.
Flavonoids are natural compounds found in a wide range of plant-based foods, from fruits and vegetables to tea and wine.
Their antioxidant properties are particularly effective at neutralizing harmful free radicals, which are linked to cellular damage caused by environmental stressors like air pollution, ultraviolet radiation, and even smoking.

Meanwhile, their anti-inflammatory effects help combat systemic inflammation, a known contributor to conditions such as heart disease, obesity, and arthritis.
For decades, researchers have studied the health benefits of flavonoids, but this new study marks the first time a direct link has been established between the variety of flavonoid sources and a substantial reduction in mortality risk.
The research, conducted by scientists at Edith Cowan University in Australia, analyzed the dietary habits of 124,805 participants aged 40 to 70.
By tracking the volume and variety of flavonoids consumed over three years, the study accounted for sociodemographic factors, lifestyle choices, and medical risk profiles.

The results were striking: individuals who consumed a broad range of flavonoid-rich foods experienced a 14% lower risk of death compared to those who relied on a single source of these compounds.
Dr.
Benjamin Parmenter, the lead researcher, emphasized that this diversity in intake is crucial. ‘Different flavonoids work in different ways,’ he explained. ‘Some improve blood pressure, others lower cholesterol and reduce inflammation.
This study shows that a varied diet maximizes these benefits.’
Dark chocolate and red wine are just two of the many foods packed with flavonoids.
However, the study underscores the importance of incorporating a wide array of sources into one’s diet.

Berries, apples, oranges, grapes, and tea are also rich in these compounds and should be consumed alongside dark chocolate and wine for optimal health outcomes.
For individuals grappling with chronic inflammatory conditions, such as obesity or metabolic syndrome, the benefits of a flavonoid-diverse diet are especially pronounced.
The study suggests that these foods may help mitigate the harmful effects of inflammation, offering a natural, accessible way to reduce disease risk.
Critically, the research also highlights the safety of flavonoids when consumed through food.
Unlike high-potency supplements, which can lead to toxicity in excessive amounts, flavonoids from natural sources pose no significant health risks.
This makes them an ideal addition to a balanced diet, particularly for those seeking to improve their cardiovascular health or reduce the impact of aging-related diseases.
The study’s data was drawn from the UK Biobank, a vast population-based cohort that tracks biological and lifestyle factors over time.
Participants completed the Oxford WebQ 24-hour dietary questionnaire up to five times, providing detailed insights into their flavonoid intake and overall health trajectories.
As the global population continues to grapple with rising rates of chronic disease, this research offers a compelling argument for rethinking dietary habits.
By prioritizing variety in flavonoid consumption, individuals may not only enjoy the rich flavors of foods like dark chocolate and red wine but also take meaningful steps toward a longer, healthier life.
The implications of this study extend beyond individual health, urging public health initiatives to promote diverse, plant-based diets as a cornerstone of disease prevention and longevity.
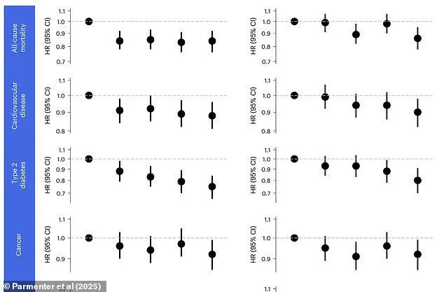
A groundbreaking study has revealed a startling link between dietary diversity in flavonoid consumption and a significantly reduced risk of death, cardiovascular disease, diabetes, and cancer.
Researchers meticulously analyzed the diets of thousands of participants, cross-referencing their flavonoid intake with mortality records and hospital admission data over a decade.
The findings, published in a leading health journal, suggest that the variety and quantity of flavonoids—powerful plant compounds found in fruits, vegetables, tea, and wine—may be a key factor in longevity and disease prevention.
The study found that individuals who consumed the widest range of flavonoid types—equivalent to adding 6.7 additional flavonoid-rich foods daily—experienced a 14% lower risk of all-cause mortality compared to those with the most limited diets.
This group also saw a 10% reduction in cardiovascular disease risk, a 20% drop in type 2 diabetes incidence, and an 8% lower cancer rate.
The researchers emphasized that variety alone was not enough; the total daily intake of flavonoids mattered just as much.
Participants who consumed approximately 500mg of flavonoids per day—roughly equivalent to two cups of tea—had a 16% lower risk of all-cause mortality, according to Dr.
Parmenter, one of the study’s lead authors.
This amount also correlated with a 9% reduction in cardiovascular disease risk, a 12% lower chance of developing type 2 diabetes, and a 13% decrease in respiratory disease mortality.
For context, a single 5oz glass of red wine contains about 130mg of flavonoids, while a 100g bar of dark chocolate (70-85% cacao) can provide between 200mg to 1,000mg, depending on the brand.
However, the researchers caution against overindulgence in high-flavonoid foods like dark chocolate and wine due to their high calorie counts.
A 100g bar of dark chocolate contains around 600 calories, and a 5oz glass of wine adds approximately 120 calories.
The study proposes a balanced approach: a morning cup of tea paired with apples or berries for breakfast, followed by dark chocolate as a midday snack, and a glass of red wine with dinner.
This meal plan, the researchers argue, could maximize flavonoid intake without excessive calorie consumption.
Professor Aedín Cassidy, a co-author of the study, stressed the practical implications of the findings. ‘This is a clear public health message,’ she said. ‘Simple dietary swaps—like drinking more tea, eating more berries, and choosing dark chocolate over milk chocolate—can significantly boost flavonoid intake and improve long-term health outcomes.’ The study underscores the potential of everyday food choices to combat some of the most pressing health challenges of the 21st century, offering a roadmap for healthier living through small, achievable changes.













